Загрузка. Пожалуйста, подождите...
Руководство компании
Экологическая политика
Центральный офис: 42-00-77
ТЭЦ-1 приемная: 49-31-28
ТЭЦ-3 приемная: 42-13-39
Карта, адреса и контакты
Главная
О компании
Новости
Общая информация
История компании
Миссия, ценности
Руководство компании
Экологическая политика
Развитие сотрудников
Инвестиции
Ремонтная программа
Реализация программы расширения
Пресс-Центр
СМИ о НАС
Запуск энергоблока
Контакты центра
Галерея
Партнерам
Общая информация о закупках
Закупки способом конкурса путем тендера
Закупки способом через электронные торговые площадки
Перечень 2023 г. закупаемых товаров, услуг, работ
Перечень 2024 г. закупаемых товаров, услуг, работ
Перечень 2025 г. закупаемых товаров, услуг, работ
Перечень 2026 г. закупаемых товаров, услуг, работ
Перечень 2022 г. закупаемых товаров,услуг,работ
Перечень 2020 г.закупаемых товаров,услуг,работ
Перечень 2021 г. закупаемых товаров, работ, услуг
Закупки способом запроса ценовых предложений
Закупки способом из одного источника
Перечень 2019 г. закупаемых товаров, работ, услуг
Тендеры
Установленное оборудование
Контрольно-пропускной режим ТЭЦ
Контакты
Вакансии
Обратная связь
Контакты
Главная
»
Партнерам
»
Перечень 2026 г. закупаемых товаров, работ, услуг
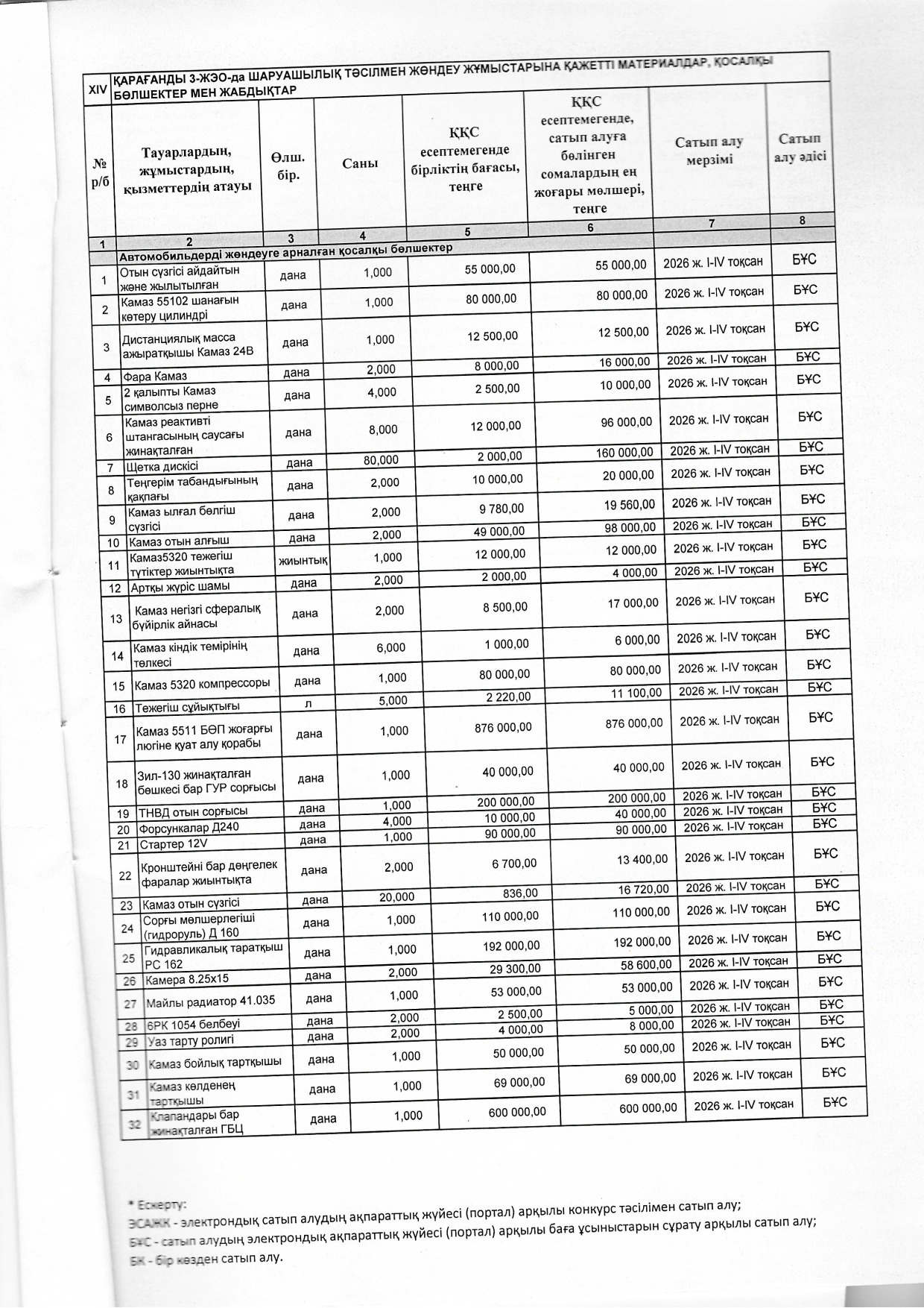
» ТОЛЫҚТЫРУ ЖӘНЕ ӨЗГЕРТУ №19
ТОЛЫҚТЫРУ ЖӘНЕ ӨЗГЕРТУ №19
Дата: 15.01.2026
Вернуться
Главная
Новости
Пресс-Центр
Партнерам
Контакты
Адрес:
г.Караганда, Бухар-Жирау, строение 22/1
E-mail:
office@kec.kz